优先队列,非堆莫属。
一:堆结构
1:性质
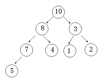
堆是一种很松散的序结构树,只保存了父节点和孩子节点的大小关系,并不规定左右孩子的大小,不像排序树那样严格,又因为堆是一种完全二叉
树,设节点为i,则i/2是i的父节点,2i是i的左孩子,2i+1是i的右孩子,所以在实现方式上可以采用轻量级的数组。

2:用途
如果大家玩过微软的MSMQ的话,我们发现它其实也是一个优先队列,还有刚才说的抓取url,不过很遗憾,为什么.net类库中没有优先队列,而java1.5
中就已经支持了。
3:实现
<1>堆结构节点定义:
我们在每个节点上定义一个level,表示该节点的优先级,也是构建堆时采取的依据。
1 /// <summary>
2 /// 定义一个数组来存放节点
3 /// </summary>
4 private List<HeapNode> nodeList = new List<HeapNode>();
5
6 #region 堆节点定义
7 /// <summary>
8 /// 堆节点定义
9 /// </summary>
10 public class HeapNode
11 {
12 /// <summary>
13 /// 实体数据
14 /// </summary>
15 public T t { get; set; }
16
17 /// <summary>
18 /// 优先级别 1-10个级别 (优先级别递增)
19 /// </summary>
20 public int level { get; set; }
21
22 public HeapNode(T t, int level)
23 {
24 this.t = t;
25 this.level = level;
26 }
27
28 public HeapNode() { }
29 }
30 #endregion<2> 入队操作
入队操作时我们要注意几个问题:
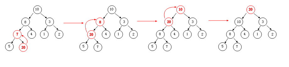
①:完全二叉树的构建操作是“从上到下,从左到右”的形式,所以入队的节点是放在数组的最后,也就是树中叶子层的有序最右边空位。
②:当节点插入到最后时,有可能破坏了堆的性质,此时我们要进行“上滤操作”,当然时间复杂度为O(lgN)。

当我将节点“20”插入到堆尾的时候,此时破坏了堆的性质,从图中我们可以清楚的看到节点“20”的整个上滤过程,有意思吧,还有一点
就是:获取插入节点的父亲节点的算法是:parent=list.count/2-1。这也得益于完全二叉树的特性。
1 #region 添加操作
2 /// <summary>
3 /// 添加操作
4 /// </summary>
5 public void Eequeue(T t, int level = 1)
6 {
7 //将当前节点追加到堆尾
8 nodeList.Add(new HeapNode(t, level));
9
10 //如果只有一个节点,则不需要进行筛操作
11 if (nodeList.Count == 1)
12 return;
13
14 //获取最后一个非叶子节点
15 int parent = nodeList.Count / 2 - 1;
16
17 //堆调整
18 UpHeapAdjust(nodeList, parent);
19 }
20 #endregion
21
22 #region 对堆进行上滤操作,使得满足堆性质
23 /// <summary>
24 /// 对堆进行上滤操作,使得满足堆性质
25 /// </summary>
26 /// <param name="nodeList"></param>
27 /// <param name="index">非叶子节点的之后指针(这里要注意:我们
28 /// 的筛操作时针对非叶节点的)
29 /// </param>
30 public void UpHeapAdjust(List<HeapNode> nodeList, int parent)
31 {
32 while (parent >= 0)
33 {
34 //当前index节点的左孩子
35 var left = 2 * parent + 1;
36
37 //当前index节点的右孩子
38 var right = left + 1;
39
40 //parent子节点中最大的孩子节点,方便于parent进行比较
41 //默认为left节点
42 var max = left;
43
44 //判断当前节点是否有右孩子
45 if (right < nodeList.Count)
46 {
47 //判断parent要比较的最大子节点
48 max = nodeList[left].level < nodeList[right].level ? right : left;
49 }
50
51 //如果parent节点小于它的某个子节点的话,此时筛操作
52 if (nodeList[parent].level < nodeList[max].level)
53 {
54 //子节点和父节点进行交换操作
55 var temp = nodeList[parent];
56 nodeList[parent] = nodeList[max];
57 nodeList[max] = temp;
58
59 //继续进行更上一层的过滤
60 parent = (int)Math.Ceiling(parent / 2d) - 1;
61 }
62 else
63 {
64 break;
65 }
66 }
67 }
68 #endregion<3> 出队操作
从图中我们可以看出,优先级最大的节点会在一阵痉挛后上升到堆顶,出队操作时,我们采取的方案是:弹出堆顶元素,然后将叶子层中
的最右子节点赋给堆顶,同样这时也会可能存在破坏堆的性质,最后我们要被迫进行下滤操作。

我图中可以看出:首先将堆顶20弹出,然后将7赋给堆顶,此时堆性质遭到破坏,最后我们清楚的看到节点7的下滤过程,从摊还分析的角度上
来说,下滤的层数不超过2-3层,所以整体上来说出队的时间复杂度为一个常量O(1)。
1 #region 优先队列的出队操作
2 /// <summary>
3 /// 优先队列的出队操作
4 /// </summary>
5 /// <returns></returns>
6 public HeapNode Dequeue()
7 {
8 if (nodeList.Count == 0)
9 return null;
10
11 //出队列操作,弹出数据头元素
12 var pop = nodeList[0];
13
14 //用尾元素填充头元素
15 nodeList[0] = nodeList[nodeList.Count - 1];
16
17 //删除尾节点
18 nodeList.RemoveAt(nodeList.Count - 1);
19
20 //然后从根节点下滤堆
21 DownHeapAdjust(nodeList, 0);
22
23 return pop;
24 }
25 #endregion
26
27 #region 对堆进行下滤操作,使得满足堆性质
28 /// <summary>
29 /// 对堆进行下滤操作,使得满足堆性质
30 /// </summary>
31 /// <param name="nodeList"></param>
32 /// <param name="index">非叶子节点的之后指针(这里要注意:我们
33 /// 的筛操作时针对非叶节点的)
34 /// </param>
35 public void DownHeapAdjust(List<HeapNode> nodeList, int parent)
36 {
37 while (2 * parent + 1 < nodeList.Count)
38 {
39 //当前index节点的左孩子
40 var left = 2 * parent + 1;
41
42 //当前index节点的右孩子
43 var right = left + 1;
44
45 //parent子节点中最大的孩子节点,方便于parent进行比较
46 //默认为left节点
47 var max = left;
48
49 //判断当前节点是否有右孩子
50 if (right < nodeList.Count)
51 {
52 //判断parent要比较的最大子节点
53 max = nodeList[left].level < nodeList[right].level ? right : left;
54 }
55
56 //如果parent节点小于它的某个子节点的话,此时筛操作
57 if (nodeList[parent].level < nodeList[max].level)
58 {
59 //子节点和父节点进行交换操作
60 var temp = nodeList[parent];
61 nodeList[parent] = nodeList[max];
62 nodeList[max] = temp;
63
64 //继续进行更下一层的过滤
65 parent = max;
66 }
67 else
68 {
69 break;
70 }
71 }
72 }
73 #endregion最后我还扩展了一个弹出并下降节点优先级的方法,好吧,这个方法大家自己琢磨琢磨,很有意思的,实际应用中使用到了。
1 2 3 4 5 6 7 8 9 10 11 12 13 14 15 16 17 18 19 20 21 22 23 24 25 26 27 28 29 30 31 32 33 34 35 36 37 38 39 40 41 42 43 44 45 46 47 48 49 50 51 52 53 54 55 56 57 58 59 60 61 62 63 64 65 66 67 68 69 70 71 72 73 74 75 76 77 78 79 80 81 82 83 84 85 86 87 88 89 90 91 92 93 94 95 96 97 98 99 100 101 102 103 104 105 106 107 108 109 110 111 112 113 114 115 116 117 118 119 120 121 122 123 124 125 126 127 128 129 130 131 132 133 134 135 136 137 138 139 140 141 142 143 144 145 146 147 148 149 150 151 152 153 154 155 156 157 158 159 160 161 162 163 164 165 166 167 168 169 170 171 172 173 174 175 176 177 178 179 180 181 182 183 184 185 186 187 188 189 190 191 192 193 194 195 196 197 198 199 200 201 202 203 204 205 206 207 208 209 210 211 212 213 214 215 216 217 218 219 220 221 222 223 224 225 226 227 228 229 230 231 232 233 234 235 236 237 238 239 240 241 242 243 244 245 246 247 248 249 250 251 252 253 254 255 256 257 258 259 260 261 262 | using System;using System.Collections.Generic;using System.Linq;using System.Text;using System.Diagnostics;using System.Threading;using System.IO;namespace ConsoleApplication2{ public class Program { public static void Main() { PriorityQueue<Url> heap = new PriorityQueue<Url>(); //随机插入20个节点 for (int i = 1; i < 20; i++) { var rand = new Random().Next(1, 20); Thread.Sleep(10); heap.Eequeue(new Url() { Data = "test" + i }, i); } while (true) { var node = heap.Dequeue(); if (node == null) break; Console.WriteLine("当前url的优先级为:{0},数据为:{1}", node.level, node.t.Data); } Console.Read(); } } #region 定义一个实体 /// <summary> /// 定义一个实体 /// </summary> public class Url { public string Data { get; set; } } #endregion public class PriorityQueue<T> where T : class { /// <summary> /// 定义一个数组来存放节点 /// </summary> private List<HeapNode> nodeList = new List<HeapNode>(); #region 堆节点定义 /// <summary> /// 堆节点定义 /// </summary> public class HeapNode { /// <summary> /// 实体数据 /// </summary> public T t { get; set; } /// <summary> /// 优先级别 1-10个级别 (优先级别递增) /// </summary> public int level { get; set; } public HeapNode(T t, int level) { this.t = t; this.level = level; } public HeapNode() { } } #endregion #region 添加操作 /// <summary> /// 添加操作 /// </summary> public void Eequeue(T t, int level = 1) { //将当前节点追加到堆尾 nodeList.Add(new HeapNode(t, level)); //如果只有一个节点,则不需要进行筛操作 if (nodeList.Count == 1) return; //获取最后一个非叶子节点 int parent = nodeList.Count / 2 - 1; //堆调整 UpHeapAdjust(nodeList, parent); } #endregion #region 对堆进行上滤操作,使得满足堆性质 /// <summary> /// 对堆进行上滤操作,使得满足堆性质 /// </summary> /// <param name="nodeList"></param> /// <param name="index">非叶子节点的之后指针(这里要注意:我们 /// 的筛操作时针对非叶节点的) /// </param> public void UpHeapAdjust(List<HeapNode> nodeList, int parent) { while (parent >= 0) { //当前index节点的左孩子 var left = 2 * parent + 1; //当前index节点的右孩子 var right = left + 1; //parent子节点中最大的孩子节点,方便于parent进行比较 //默认为left节点 var max = left; //判断当前节点是否有右孩子 if (right < nodeList.Count) { //判断parent要比较的最大子节点 max = nodeList[left].level < nodeList[right].level ? right : left; } //如果parent节点小于它的某个子节点的话,此时筛操作 if (nodeList[parent].level < nodeList[max].level) { //子节点和父节点进行交换操作 var temp = nodeList[parent]; nodeList[parent] = nodeList[max]; nodeList[max] = temp; //继续进行更上一层的过滤 parent = (int)Math.Ceiling(parent / 2d) - 1; } else { break; } } } #endregion #region 优先队列的出队操作 /// <summary> /// 优先队列的出队操作 /// </summary> /// <returns></returns> public HeapNode Dequeue() { if (nodeList.Count == 0) return null; //出队列操作,弹出数据头元素 var pop = nodeList[0]; //用尾元素填充头元素 nodeList[0] = nodeList[nodeList.Count - 1]; //删除尾节点 nodeList.RemoveAt(nodeList.Count - 1); //然后从根节点下滤堆 DownHeapAdjust(nodeList, 0); return pop; } #endregion #region 对堆进行下滤操作,使得满足堆性质 /// <summary> /// 对堆进行下滤操作,使得满足堆性质 /// </summary> /// <param name="nodeList"></param> /// <param name="index">非叶子节点的之后指针(这里要注意:我们 /// 的筛操作时针对非叶节点的) /// </param> public void DownHeapAdjust(List<HeapNode> nodeList, int parent) { while (2 * parent + 1 < nodeList.Count) { //当前index节点的左孩子 var left = 2 * parent + 1; //当前index节点的右孩子 var right = left + 1; //parent子节点中最大的孩子节点,方便于parent进行比较 //默认为left节点 var max = left; //判断当前节点是否有右孩子 if (right < nodeList.Count) { //判断parent要比较的最大子节点 max = nodeList[left].level < nodeList[right].level ? right : left; } //如果parent节点小于它的某个子节点的话,此时筛操作 if (nodeList[parent].level < nodeList[max].level) { //子节点和父节点进行交换操作 var temp = nodeList[parent]; nodeList[parent] = nodeList[max]; nodeList[max] = temp; //继续进行更下一层的过滤 parent = max; } else { break; } } } #endregion #region 获取元素并下降到指定的level级别 /// <summary> /// 获取元素并下降到指定的level级别 /// </summary> /// <returns></returns> public HeapNode GetAndDownPriority(int level) { if (nodeList.Count == 0) return null; //获取头元素 var pop = nodeList[0]; //设置指定优先级(如果为 MinValue 则为 -- 操作) nodeList[0].level = level == int.MinValue ? --nodeList[0].level : level; //下滤堆 DownHeapAdjust(nodeList, 0); return nodeList[0]; } #endregion #region 获取元素并下降优先级 /// <summary> /// 获取元素并下降优先级 /// </summary> /// <returns></returns> public HeapNode GetAndDownPriority() { //下降一个优先级 return GetAndDownPriority(int.MinValue); } #endregion }} |
